2020年8月自考試題:填空題8
2020年自考備考已經開始,自考歷年試題對考生來說是十分寶貴的資料,考前每道試題至少要做1-2遍才會事半功倍。自考365網給大家整理了2020年8月《線性代數(經管類)》自考試題及答案解析,一起來試試吧!
說明:在本卷中,AT表示矩陣A的轉置矩陣,A*表示矩陣A的伴隨矩陣,E是單位矩陣,|A|表示方陣A的行列式.r(A)表示矩陣A的秩.
掃碼入群>>獲取自考公共課全套試題及答案解析
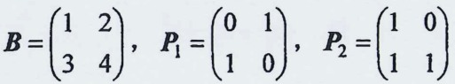
設矩陣
,若矩陣A滿足AP1P2=B,則A= .
查看答案解析
【正確答案】
自考365提供從報名到畢業一站式服務!【點擊咨詢>> 】
你可能喜歡
- 熱門課程
- 報名咨詢
相關資訊
關注添加
掃碼加入備考交流群
與更多考生一起交流學習經驗
備戰考試,獲取試題及資料
掃碼下載APP
海量歷年試題、備考資料
免費下載領取
掃碼進入微信小程序
每日練題鞏固、考前模擬實戰
免費體驗自考365海量試題


