2020年8月自考公共課線性代數(經管類)試題及答案解析
自考365網給大家整理了2020年8月自考公共課《線性代數(經管類)》試題及答案解析,一起來試試吧!
說明:在本卷中,AT表示矩陣A的轉置矩陣,A*表示矩陣A的伴隨矩陣,E是單位矩陣,|A|表示方陣A的行列式.r(A)表示矩陣A的秩.
掃碼入群>>獲取自考公共課全套試題及答案解析
2020年8月線性代數(經管類)自考試題及答案解析
一、單項選擇題
1. 設α1,α2,β1,β2是3維列向量,且行列式|α1,α2,β1|=m,|α1,β2,α2,|=n,,則行列式|α1,α2,β1+β2|=( )。
2.設A為3階矩陣,將A的第2列與第3列互換得到矩陣B,再將B的第1列的(-2) 倍加到第3列得到單位矩陣E,則A-1=
3. 設向量組α1,α2,α3線性無關,而向量組α2,α3,α4線性相關,則( )。
4.若3階可逆矩陣A的特征值分別是1,-1, 2,則|A-1|=( )。
5. 二次型f(x1,x2,x3)=x22+2x1x3的規范形是( )。
二、填空題
6. 已知行列式D=
,其代數余子式為Aij(i,j=1,2,3,4),則3A11+6A12-7A13+8A14= .
7.行列式
10. 設向量組α1=(1,1,a)T,α2=(1,a,1)T,α3=(a,1,1)T的秩為3,則數a的取值應滿足 .
11. 與向量α1=(1,1,1)T,α2=(1,2,-1)T都正交的任意非零向量α= .
12. 設A為3×4矩陣,r(A)=3,若η1,η2為非齊次線性方程組Ax = b的解且η1≠η2, 則其導出組Ax = 0的通解為x= .
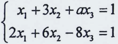
13. 若線性方程組
無解,則數a= .
14.設2階矩陣A與B相似,若A的特征值為-3和2,則|B2|= .
15.二次型f(x1,x2,x3)=(5x12+x22+ax32+4x1x2-2x1x3-2x2x3正定,則數a的取值范圍為 .
三、計算題
16.設α1,α2,α3為2維列向量,令A=(α1,α3),B=(2α2,3α3),且已知|A|=?,|B|=-2, 求行列式|A+B|的值。
18.已知矩陣A=
,求A-1.
20. 設4元非齊次線性方程組Ax = b的增廣矩陣經初等行變換化為
,討論a、c為何值時方程組有無窮多解并求出其通解(要求用其一個特解和導出組的基礎解系表示).
22.已知二次型f(x1,x2)=-3x12+4x1x2分別經可逆線性變換
化為標準形Ⅰ與Ⅱ.求
二、簡答題
23.設A為n階矩陣,α1,α2分別是A的屬于特征值λ1,λ2的特征向量,且λ1≠λ2. 證明當λ1,λ2均不為零時,向量組Aα1,Aα2線性無關.
自考365提供從報名到畢業一站式服務!【點擊咨詢>> 】
- 熱門課程
- 報名咨詢
關注添加
掃碼加入備考交流群
與更多考生一起交流學習經驗
備戰考試,獲取試題及資料
掃碼下載APP
海量歷年試題、備考資料
免費下載領取
掃碼進入微信小程序
每日練題鞏固、考前模擬實戰
免費體驗自考365海量試題





