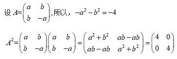
2019年4月《線性代數(經管類)》自考試題:填空題14
2020年自考備考已經開始,自考歷年試題對考生來說是十分寶貴的資料,考前每道試題至少要做1-2遍才會事半功倍。自考365網給大家整理了2018年4月自考《線性代數(經管類)》試題及答案解析,一起來試試吧!
掃碼入群>>獲取自考公共課全套試題及答案解析
14.設2階實對稱矩陣A的特征值為-2,2,則
=_________.
查看答案解析
自考365提供從報名到畢業一站式服務!【點擊咨詢>> 】
你可能喜歡
- 熱門課程
- 報名咨詢
相關資訊
關注添加
掃碼加入備考交流群
與更多考生一起交流學習經驗
備戰考試,獲取試題及資料
掃碼下載APP
海量歷年試題、備考資料
免費下載領取
掃碼進入微信小程序
每日練題鞏固、考前模擬實戰
免費體驗自考365海量試題




